gia sư Hà Nội
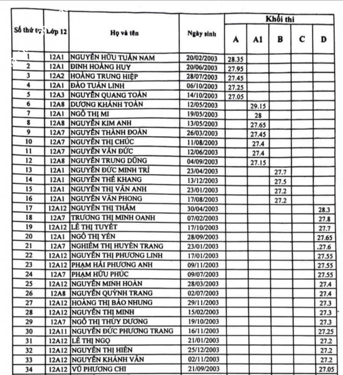
Ngô Thị Yến
Mã gia sư 35802
Giới tính Nữ
Hiện là Sinh viên
Khoa Kinh Tế Quốc Tế
Trường HV Ngoại giao
Ngày sinh 28/09/2003
Sống tại Ngõ XXX, Đường Láng, Phường Láng Thượng
Đống Đa - Hà Nội
Quê quán Yên Phong - Bắc Ninh
Phương tiện Xe buýt
Cập nhật lần cuối 13/06/2023

Gia sư giỏi Học viện Ngoại giao chuyên dạy kèm môn Tiếng Anh

Tự giới thiệu

*Thành tích
-Từng trúng tuyển đồng thời vào ngành Kinh Tế Đại học Kinh Tế Quốc Dân, Ngành Ngôn Ngữ Anh Đại học Ngoại Ngữ-ĐHQGHN, ngành Kinh Tế Quốc Tế Học viện Ngoại Giao theo phương thức xét tuyển kết hợp

-Sinh viên năm hai Học viện Ngoại Giao

-Đạt giải Nhì HSG tỉnh Anh lớp 12

-Điểm thi THPTQG 27.65(Toán 8.6, Văn 9.25, Anh 9.8)

-GPA Đại học 3.47/4

Thành tích dạy học

-Có kinh nghiệm ôn tốt nghiệp và ôn thi đại học cho học sinh lớp 12, ôn bổ trợ mất gốc cho học sinh lớp 10

Các ảnh đính kèm (3)

ảnh đính kèm của gia sư ảnh đính kèm của gia sư ảnh đính kèm của gia sư

Các lớp gia sư đã và đang dạy

Liên hệ gia sư (Miễn Phí)

Dịch vụ giúp việc: Nếu quý phụ huynh có nhu cầu tìm sinh viên giúp việc theo giờ hay vừa gia sư vừa giúp việc nhà vui lòng gọi đến các số điện thoại dưới để được giúp đỡ.

Quý phụ huynh vui lòng xem kỹ thông tin gia sư xem có phù hợp không rồi gọi tới một trong các số: 0966.042.043 (Cô Bảo Châu) - 0966.713.716 (Cô Lệ) của Trung tâm để thông báo việc lựa chọn gia sư này. Trung tâm sẽ gọi điện phỏng vấn gia sư thêm một lần nữa. Nếu gia sư đáp ứng yêu cầu và đồng ý dạy, Trung tâm sẽ gửi số điện thoại của Quý phụ huynh cho gia sư để hai bên trao đổi trực tiếp với nhau.
Gọi điện Zalo Messenger
Top